Welcome to my academic webpage! I created this page to document my educational and academic journey, as well as share experiences, skills, and achievements. You can also have a quick access to knowing me. I am currently pursuing a Master’s degree in the Institute of Reproductive and Child Health, School of Public Health, Peking University, China. During my Master’s program, I received comprehensive training in multiple disciplines, including Epidemiology, Geographic Information Systems (GIS), and Reproductive Health. I will graduate this year and am actively seeking opportunities for a research assistant or Ph.D. position in related fields.
l am interested in understanding the intricate relationships and mechanisms through which external environmental exposures influence maternal and child health. My research work has resulted in 2 first-author papers and 8 co-authored papers. Recently, I have focused on applying interdisciplinary approaches, such as machine learning and GIS, to investigate the associations between air pollution—particularly PM2.5 and PM10—and infant birth size.
For more details, you can find my CV here: Zeping Yang’s Curriculum Vitae.
If you’d like to get in touch with me, 👉_Click here to scan my WeChat QR Code.
👨💻 Research Experiences
CHARLS Dataset Exploration
The association between air pollutants exposures and cognitive function in middle-aged and older adults in China
Highly polluted areas are concentrated in the Beijing-Tianjin-Hebei region and in populous provinces such as Henan and Shandong.

Negative associations at lower concentrations and positive associations at higher concentrations.

GDP may act as a potential effect modifier underlying the counterintuitive positive associations observed between air pollutants and cognitive function.

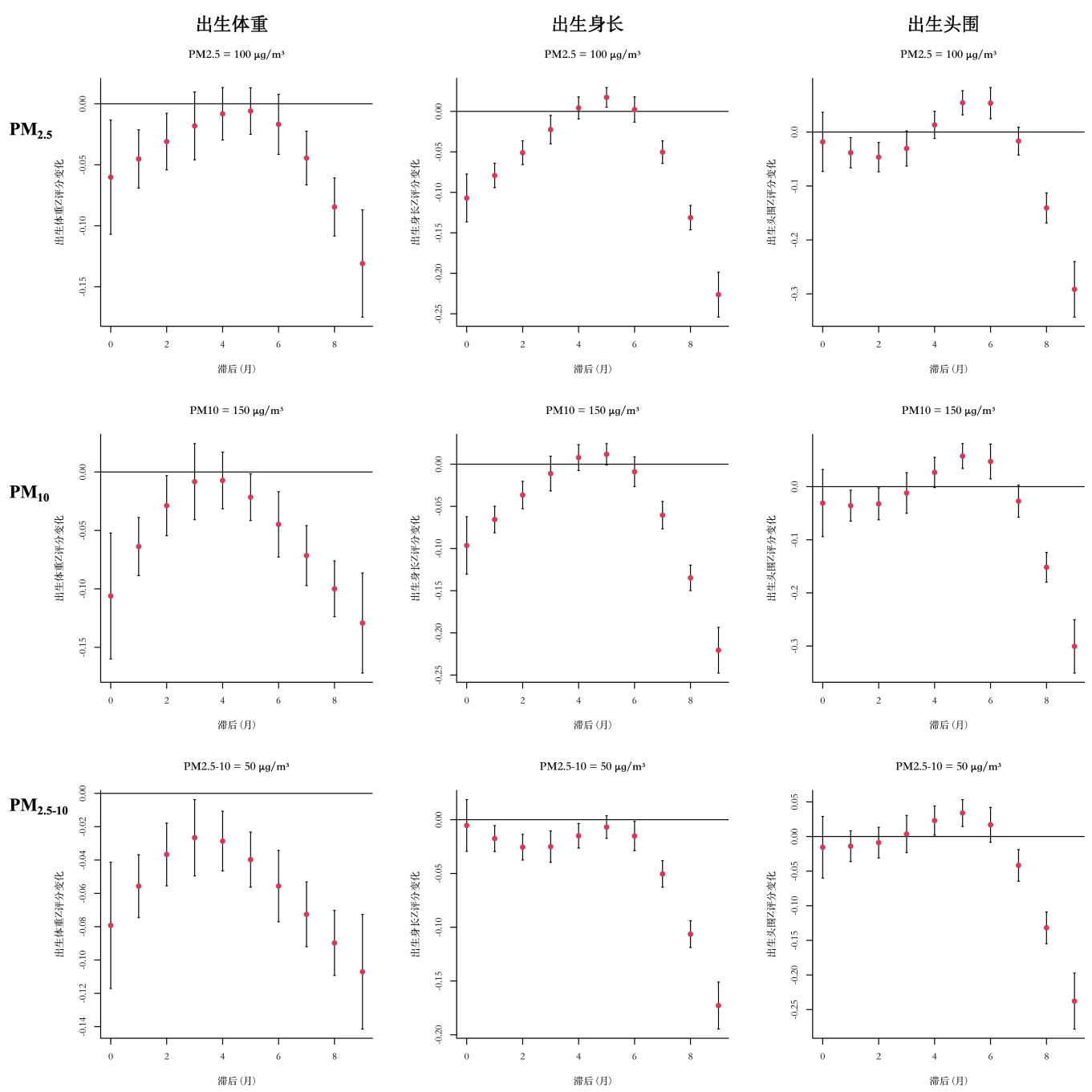
Master Thesis
The Association between Particulate Matter (PM) during pregnancy and birth size of newborns in Hebei Province, China
Roadmap 
Findings:
- ForestPlot for the association between PM and birth size

- Lag effect and sensitive window for PM

UK Biobank Mining

Earlier Age at Menopause, Plasma Metabolome, and Risk of Premature Mortality
Zeping Yang, Ninghao Huang, … , Tao Huang, Nan Li*.
- Earlier menopause is linked to an increased risk of premature mortality
- Analyzed data from 33,687 postmenopausal women aged 40–69 years in the UK Biobank.
- Identified a metabolomic signature inversely associated with premature mortality, which mediated 13.6% of the association between earlier menopause and premature death.
👉Click here to check out my full publications …
📊🧰 Datasets and Toolsets
- Environmental Exposure Platforms:
- Cohort Platform:
- Lag Effect: Distributed Lag Linear and Non-Linear Models (DLNMs)
- Mixture Effect:
- Bayesian Kernel Machine Regression (BKMR)
- Quantile G-Computation
- Weighted Quantile Sum (WQS) regression (Learning)
🪪 Internships
- 2022.09 - 2022.12, Departmental Assistant, Beijing Chaoyang District Center for Diseases Prevention and Control, Beijing, China.
- 2021.02 - 2022.01, Medical Intern, Beijing Haidian Hospital, Beijing, China.
👨🏻🎓 Educations
- 2023.09 - 2025.06, MS, Department of Epidemiology & Biostatistics, Peking University, Beijing, China
- 2018.09 - 2023.06, MB, School of Public Health, Peking University, Beijing, China
🎖 Honors and Awards
2023.03 Outstanding Completion, Preventive Medicine Research Project, Peking University (Group Leader)
Development and Changes of Third-Party Medical Testing Institutions in China2021.05 First Prize, 29th “Challenge Cup,” Peking University (Core Member)
Nucleic Acid Detection Point Allocation Based on ArcGIS: A Beijing Case Study2020.05 First Prize, 28th “Challenge Cup,” Peking University (Group Leader)
AED Deployment and Feasibility Analysis in Peking University
💪 Skills
- Statistical Softwares:
- R: Hands-On Programming with R、R Data Science
- Stata
- SPSS
- SAS((Learning)
- Machine Learning: Ridge, Lasso, Elastic Regression (Improving: mlr3 book)
- Epidemiological Tools: EpiData, PASS
- GIS Tools: ArcGIS, ENVI, IDL
- Programming: Python, C, Linux Command
- Project Communication: GitHub, Markdown
- Language: Chinese, English: TOEFL 100+ (Learning: Russian)
🌟 Knowledge Repository
This section is a repository for knowledge I think important during my work process, including notes, tutorials, codes and any materials I think maybe helpful for future work.
I think recording and sharing them here can both help people in need and promote my enthusiasim for learning and working.
If you have any question for materials below, do not hesitate to contact me in any methods provided by this website.
- Notes: Introduction to Machine Learning
- Notes: Bioinformatics and Linux Class
- Tutorial : Extraction and use of air pollution data in the CHAP database-from the .nc to the variable: EN / CN
- R Codes for Epidemiological Research Paradigm
- Stata Codes for Epidemiological Research Paradigm (To be developed)
